どぼるざーくとゆく、高分子シミュレーション

lammpsやOCTAなどの高分子シミュレーターについて四苦八苦しながら学んでいくブログです。Twitterアカウント@lammps_octa

勉強

【お勉強】分子動力学法-1(原子に作用する力)

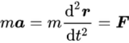
はじめに(2020/01/12加筆) 今回の記事はlammpsで主に使われる分子動力学法の解説をしたいと思います。 (今回の記事は学問的なものなので問題点があればご指摘頂けると幸いです。) はじめに(2020/01/12加筆) 簡単な説明 原子に作用する力 is 何? ①シュレーデ…